Overview
- Anglister, L. et al. (1978) J. Mol. Biol. 125, 293.
- Ellman, G.L. et al. (1961) Biochem. Pharmacol. 7, 88.
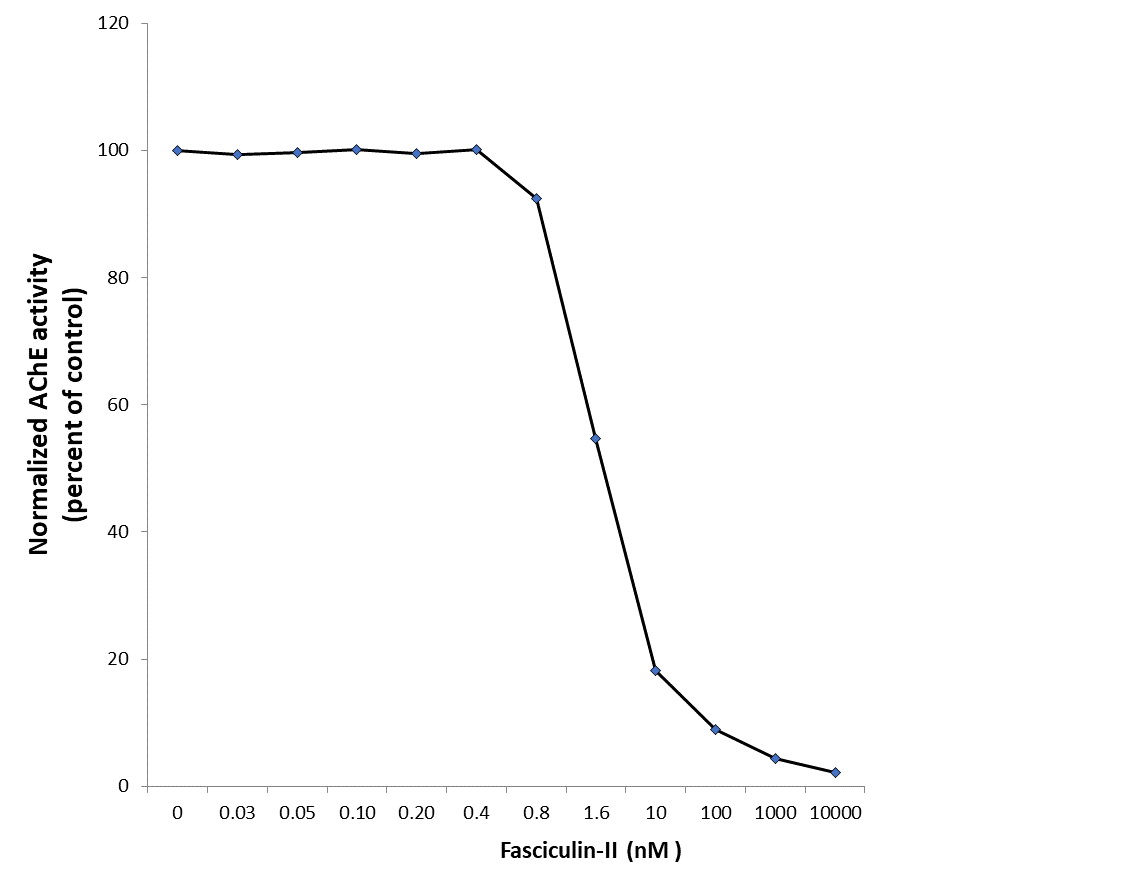
Alomone Labs Fasciculin-II potently inhibits Acetylcholinesterase (AChE) activity.AChE activity was determined colorimetrically using Ellman's reagent, as production of thiocholine from acetylthiocholine. Absorbance was measured at 405 nm after a 30 min incubation. Normalized activity of 400 mU/ml (black) human AChE, as percent of control, was plotted against increasing concentrations of Fasciculin-II (#F-225), showing concentration-dependent inhibition with pIC50 ≈ 9.
- Anglister, L. et al. (1978) J. Mol. Biol. 125, 293.
- Karlsson, E. et al. (1986) Pharmacol. Ther. 30, 259.
- Ellman, G.L. et al. (1961) Biochem. Pharmacol. 7, 88.
Fasciculin-II is a 61 amino acid peptidyl toxin with four disulfide bonds, isolated from the Eastern green mamba (Dendroaspis angusticeps) venom. Fasciculin-II belongs to the three finger protein of Elapidae toxin family. Fasciculin-II differs from Fasciculin-I only at one position by a replacement of Tyr with Asp or Asn1.
Fasciculin-II was shown to be a selective potent and reversible blocker of acetylcholinesterase by binding to the peripheral site of the enzyme1. Injection of Fasciculin-II to mice causes severe, generalized, and long-lasting twitching (fasciculation) due to its ability to prevent degradation and therefore promote acetylcholine accumulation at the neuromuscular junction2.
Fasciculin-II (#F-225) is a highly pure, natural, and biologically active peptide toxin.
Applications
Citations
- Wen, H. et al. (2016) Proc. Natl. Acad. Sci. U.S.A. 113, E378.
- Wen, H. et al. (2016) J. Neurosci. 36, 10870.
- Robinson, K.G. et al. (2013) Am. J. Med. Genet. A 161A, 3042.